Polinomios
(127) ejercicios de Polinomios
-
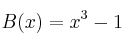
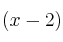
Calcula el valor de
para que el polinomio
verifique:– a) sea divisible por
– b) el resto de la división entre
sea 
-
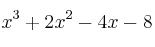
Encuentra las raíces de los siguientes polinomios:
–
–
–
-
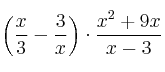
Opera y simplifica:

-
Halla el m.c.d. y el m.c.m. de los polinomios:
–
–
-
Hallar cociente y resto de la siguiente división:

