Polinomios
(127) ejercicios de Polinomios
-
Factoriza los siguientes polinomios:
–
–
-
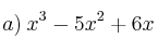
Factoriza los siguientes polinomios:
–
–
-
Factoriza los polinomios:
–
–
-
Calcula
y
para que el polinomio
sea divisible por
y además se cumpla 
-
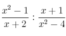
Calcula y simplifica:
