Geometría en el Espacio
Ejercicios de Geometría en el espacio. Bachillerato
Dados los puntos
,
y
y el plano 
Se pide:
a) Comprueba si los puntos A, B y C pertenecen al plano.
b) Halla la ecuación general del plano.
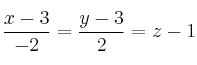
Escriba las ecuaciones paramétricas, continua e implícita de la recta que pasa por los puntos
y
Dados los puntos
y
se considera la recta
que pasa por ambos. Se pide:
a) Halla un vector director de
.
b) Obtén la ecuación vectorial, paramétrica, continua e implícita (o general) de
.
Dados el punto
y los vectores
y
se pide:
a) Halla la ecuación vectorial, paramétrica e implícita (o general) del plano
que forman.
b) Comprueba si los puntos
y
pertenecen o no al plano
.
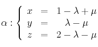
Considera la recta r que pasa por el punto
y lleva la dirección del vector ![]()
Se pide:
a) Halla su ecuación paramétrica.
b) Halla su ecuación continua.
c) Halla su ecuación implícita.
d) Estudia la posición relativa de la recta r respecto a la s:

Halla los valores de
y
para que los siguientes puntos estén alineados:
,
, ![]()
Los puntos
,
y
son los vértices consecutivos de un paralelogramo. Halla el cuarto vértice y el centro del paralelogramo
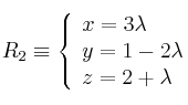
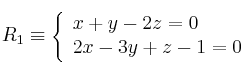
Dadas las rectas
y
– a) Halla los puntos de corte entre
y el plano
– b) Halla la ecuación de un plano que sea perpendicular a
y que pase por el punto de corte hallado en el apartado a)
Considera los puntos
,
y ![]()
– (a) Halla la ecuación del plano que contiene a
,
y
– (b) Halla el área del triángulo de vértices
,
y ![]()
Dados los puntos
,
y
, se pide:
– a) Ecuación del plano
que pasa por
,
y
– b) Vector normal al plano
– c) Ecuación de una recta perpendicular al plano
y que pase por el punto ![]()