📝 Ejercicios de funciones a trozos
-
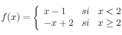
Sea la función:

Se pide:
– a) Representación gráfica
– b) Dominio y continuidad
– c) Corte con los ejes
– d) Monotonía y extremos
-
A fin de regular el consumo la compañía de electricidad ha diseñado la siguiente tarifa por mes: los primeros 10 kw/hora se pagarán a 20 UM, para los siguientes 200 kw/h costará 3UM cada kw/h y 6UM de ahí en adelante.
– Calcular dominio y rango.
– Explicar el valor de la factura como una *función* de la cantidad kw/h consumidos al mes y graficar -
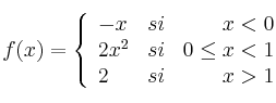
Representa gráficamente la función:

-
Representa gráficamente la función:

-
Representa gráficamente la función:

-
Representa gráficamente la función:

-
Sea la función
definida por:

– (a) Esboza la gráfica de
– (b) Calcula el área de la región limitada por la gráfica de
, el eje de abcisas y la recta 
-
Sea la función
definida por:

– (a) Calcula, si es posible, las derivadas laterales de
en
– (b) Halla los intervalos de crecimiento y de decrecimiento de la función
-
Sea la función
definida por:

– (a) Calcula, si es posible, las derivadas laterales de
en
– (b) Halla los intervalos de crecimiento y de decrecimiento de la función
-
El beneficio obtenido por una empresa, en miles de euros, viene dado por la función

donde x representa el gasto en publicidad en miles de euros.
– a) Represente la función f .
– b) Calcule el gasto en publicidad a partir del cual la empresa no tiene pérdidas.
– c) ¿Para qué gastos en publicidad se producen beneficios nulos?
– d) Calcule el gasto en publicidad que produce máximo beneficio. ¿Cuál
es ese beneficio máximo? -
Sea
la función definida por

– a) Estudia la continuidad y dervabilidad
– b) Determina sus asíntotas y sus extremos relativos
– c) Esboza la gráfica de f -
En una empresa los ingresos (en euros) dependen de la edad. Si la edad, x, es de 18 a 50 a ños, los ingresos vienen dados por la fórmula
, mientras que para edades iguales o superiores a 50 años los ingresos están determinados por la expresión,
Calcula cuál es el máximo de los ingresos y a qué edad se alcanza.
-
Sea
el porcentaje de células, de un determinado tejido, afectadas por un cierto tipo de enfermedad transcurrido un tiempo
, medido en meses:

– a) Estudie la continuidad de la función P.
– b) Estudie la derivabilidad de P en
.
– c) Estudie la monotonía de dicha función e interprete la evolución del porcentaje de células afectadas.
– d) ¿En algún momento el porcentaje de células afectadas podría valer 50? -
Se considera la función

– a) Estudie la continuidad y la derivabilidad de la función
– b) Calcule los puntos de corte de la gráfica de
con los ejes de coordenadas.
– c) Calcule las asíntotas de
, en caso de que existan. -
El beneficio, en miles de euros, que ha obtenido una almazara a lo largo de 50 años de vida viene dado por la expresión

donde
es el tiempo transcurrido.– a) Estudie la continuidad y la derivabilidad de la función
en el intervalo
.
– b) Estudie la monotonía de la función
y determine en qué momento fueron mayores los beneficios de la almazara, así como el beneficio máximo.
– c) Represente la gráfica de la función y explique la evolución del beneficio.
- 1
- 2