Base Ortogonal
Demuestra que los vectores
y
forman una base ortogonal. Expresa el vector
en función de dicha base.
SOLUCIÓN
Dos vectores linealmente independientes forman una base.
Si además son ortogonales (perpendiculares) forman una base ortogonal.
Los vectores
y
son linealmente independientes (no son proporcionales) por tanto forman una base.
Su producto escalar es 0, por tanto son perpendiculares.
Se trata por tanto de una base ortogonal.
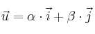
Expresa el vector
en función de dicha base.

![]()
![]()
![]()
![]()
![]()
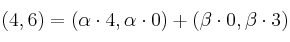
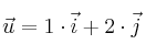
Por tanto:
Entonces:
