Derivadas
(96) ejercicios de Derivadas
-
Calcula la derivada de las siguientes funciones:
–
–
–
–
-
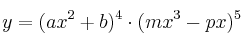
Calcula la derivada de la función

-
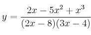
Calcula la derivada de la función

-
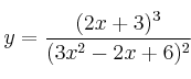
Calcula la derivada de la función

-
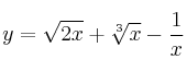
Calcula la derivada de la función
![y = \sqrt{2x} + \sqrt[3]{x} - \frac{1}{x} y = \sqrt{2x} + \sqrt[3]{x} - \frac{1}{x}](local/cache-TeX/0e94c7551c8582f565018c30106587ce.png)
