Números Reales
(42) ejercicios de Números Reales
-
Aproxima el número
a:
– centésimas por defecto
– unidades por exceso
– diezmilésimas por defecto
– cien milésimas por exceso
– unidades por defecto
– décimas por exceso
– millonésimas por defecto
– milésimas por exceso -
Opera y expresa el resultado en notación científica:

-
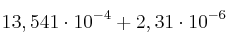
Opera y expresa el resultado en notación científica:

-
Opera y expresa el resultado en notación científica:

-
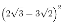
Opera y simplifica

