Geometría en el Plano
(87) ejercicios de Geometría en el Plano
-
Analiza si los siguientes vectores son linealmente independientes:

-
Analiza si los siguientes vectores son linealmente independientes:

-
Analiza si los siguientes vectores son linealmente independientes:

-
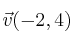
Halla las coordenadas del vector
, siendo:

-
Comprueba si son perpendiculares los vectores:
y

