Cónicas
(25) ejercicios de Cónicas
-
Comprueba si la recta
es tangente a la circunferencia 
-
Halla la ecuación de una circunferencia de centro
y tangente a la recta 
-
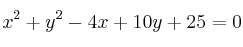
Halla el centro y el radio de la circunferencia

-
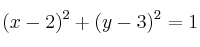
Halla el centro y el radio de la circunferencia

-
Dada la circunferencia
, halla la ecuación de una circunferencia concéntrica a la anterior, que pase por el punto 
