Ecuaciones
(32) ejercicios de Ecuaciones
-
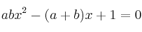
calcula
para que la ecuación
no tenga soluciones reales
-
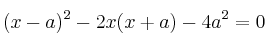
Resuelve la ecuación:

-
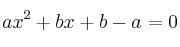
Resuelve la ecuación:

-
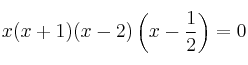
Resuelve la ecuación:

-
Resuelve la ecuación:

