Funciones II
(40) ejercicios de Funciones II
-
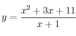
Calcula las asíntotas verticales y estudia el comportamiento en sus proximidades, de la función

-
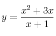
Calcula las asíntotas verticales y estudia el comportamiento en sus proximidades, de la función

-
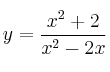
Calcula las asíntotas verticales y estudia el comportamiento en sus proximidades, de la función

-
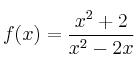
Halla las asíntotas horizontales de las funciones:
–
–
-
Halla las asíntotas horizontales de las funciones:
–
–
–
–
