Calcular límite de una función

SOLUCIÓN

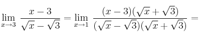
Si sustituimos "x" por "3" obtenemos
INDETERMINACIÓN
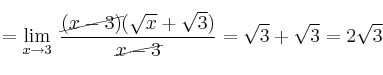
La indeterminación 0/0 se resuelve dividiendo numerador y denominador por (x-3).
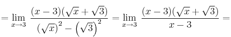
Como no se puede dividir el denominador, de forma inmediata, lo racionalizamos multiplicando por el conjugado


