Calcular límite de una función

SOLUCIÓN
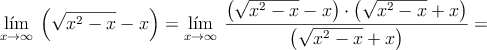
Se trata de una indeterminación del tipo
que podemos resolver multiplicando y dividiendo por la expresión conjugada

![]()
Recordemos que ![]()
Entonces tenemos:
![]()

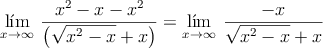
Se trata de una indeterminación del tipo
que podemos resolver multiplicando y dividiendo por la expresión conjugada

![]()
Recordemos que ![]()
Entonces tenemos:
![]()