Calcular recta perpendicular
Halla la ecuación de una recta que pase por el (0,0) y que sea perpendicular a la recta que pasa por A(1,1) y B(2,2)
SOLUCIÓN
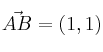
La recta que pasa por A(1,1) y B(2,2) tiene como vector director 
Un vector perpendicular a
sería por ejemplo
.
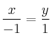
Con el vector anterior y el punto (0,0) creamos la ecuación de la recta que nos piden (por ejemplo, la ecuación continua):
