Complejos. Operaciones y representación gráfica
Realiza las siguientes operaciones y clasifica los resultados en función del conjunto o conjuntos numéricos a los que pertenecen.
– a)
– b)
– c)
– d) ![]()
Representa los apartados a, b y d en el plano complejo.
SOLUCIÓN
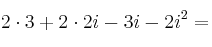
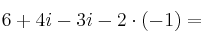
– a) ![]()
![]()
![]()
![]()
![]()
– b) 


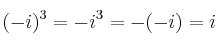
– c) ![]()
![]()
![]()
![]()
– d) ![]()
![]()