Cónicas
(25) ejercicios de Cónicas
-
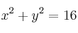
Halla la ecuación de una recta tangente a la circunferencia
que pase por el punto 
-
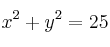
Halla la ecuación de una recta tangente a la circunferencia
que sea paralela a la recta 
-
Halla los elementos característicos y la ecuación reducida de una hipérbola de Focos
y
y constante de proporcionalidad 
-
Halla la ecuación de una hipérbola de Focos
y
y distancia entre vértices 
-
Halla la ecuación de una hipérbola de Focos
y
y excentricidad 