Curvatura y puntos de inflexión
Estudia la curvatura y puntos de inflexión de la función ![]()
SOLUCIÓN
![]()
![]()
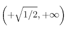
Los intervalos a considerar son:
;
y
.
Del primer intervalo tomamos, por ejemplo
convexa en 
Del segundo intervalo tomamos, por ejemplo
cóncava en 
Del tercer intervalo tomamos, por ejemplo
convexa en 
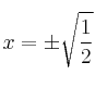
Para los puntos de inflexión tenemos, como candidatos, los puntos donde se anula la segunda derivada:
. Le aplicamos la 3ª derivada:
–
es punto de inflexión.
–
es punto de inflexión.
Ambos son puntos de inflexión. Si nos pidiesen la segunda coordenada de esos puntos de inflexión usaríamos la función original (sustituyendo x por el punto).
La gráfica de la función sería:

Mensajes
11 de agosto de 2021, 18:01, por Jorge Gallofré Isart
Buenas tardes, gracias por el tutorial, me ha ayudado mucho, pero una pregunta: cuando indicas el tipo de curvatura en cada intervalo, creo que estás indicando siempre el mismo (-inf, - 1/2^1/2). ¿No debería ser: convexa en (- inf, -1/2^1/2) Cóncava en (-1/2^1/2, +1/2^1/2) y convexa en (+1/2^1/2, +inf)?.
Un saludo y gracias de nuevo.
11 de agosto de 2021, 20:02, por dani
Ya está modificado.
Gracias por tu aportación.