Derivada de Logaritmo neperiano 1132
Calcula la derivada de la función
![]()
SOLUCIÓN
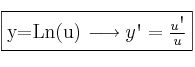
Se trata del Logaritmo neperiano de una función.
La fórmula de la derivada es 
La aplicamos a nuestro caso y obtenemos:
![y\textsc{\char13} = \frac{[(4x^2-5)^3]\textsc{\char13}}{(4x^2-5)^3} y\textsc{\char13} = \frac{[(4x^2-5)^3]\textsc{\char13}}{(4x^2-5)^3}](local/cache-TeX/4b38d7fce308369139b41548fa1ddcb3.png)
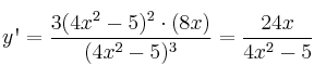
Para hacer la derivada del numerador, debemos aplicar la fórmula de la derivada de "una función elevada a una potencia", que es la siguiente:
![]()
Por tanto obtendríamos:

Mensajes
21 de abril de 2021, 13:54, por Antonio Luis Díaz Díaz
¿Por qué no se ha aplicado la formula de la derivada de una función con un logaritmo neperiano, la cual es: 1/(lo que hay dentro del logaritmo)?