Distancia de un punto a una recta en el plano
Dados un punto
y una recta ![]()
podemos calcular la distancia del punto a la recta con la fórmula:

Distancia de un punto a una recta en el plano
Distancia de un punto a una recta en el plano
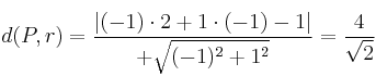
Ejemplo
Calculamos la distancia del Punto
a la recta ![]()
Para aplicar la fórmula necesitamos que la recta esté en ecuación general:
![]()

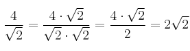
El resultado anterior se puede racionalizar y quedaría:
