Ecuación Explícita de la recta
Si partimos de la ecuación general de una recta:
![]()
podemos hallar la ecuación explícita despejando "y" en la ecuación anterior, de forma que obtengamos una expresión del tipo
![]()
que se conoce como ecuación explícita de la recta
(donde
Ejemplo
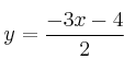
Hallar la ecuación explícita de la recta que tiene como ecuación general ![]()
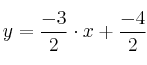
![]()
![]()

Aunque ya está despejada "y", debemos dejarla de la forma y=mx+n


