Posición relativa de dos rectas en el plano

geometría

Dos rectas en el plano puede tener una de las formas siguientes:

Posición relativa de rectas en el plano
Rectas secantes, paralelas y coincidentes

Partiendo de las ecuaciones de ambas rectas, podemos calcular su posición relativa de varias formas:

Analizando el sistema de ecuaciones

Si consideramos el sistema de dos ecuaciones con dos incógnitas formado por las ecuaciones de ambas rectas, podemos tener varias opciones:
 Sistema con solución única: Las rectas son SECANTES. Se cortan en un punto (ese punto es la solución del sistema)
 Sistema sin solución: Las rectas no tienen puntos en común, por tanto son PARALELAS.
 Sistema con infinitas soluciones: Las rectas tienen infinitos puntos en común, por tanto son la misma recta. Son COINCIDENTES

Analizando los coeficientes

Si expresamos las rectas en sus ecuaciones generales:

r \longrightarrow Ax+By+C=0


s \longrightarrow A\textsc{\char13}x+B\textsc{\char13}y+C\textsc{\char13}=0

podemos diferenciar 3 casos:

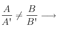
 \frac{A}{A\textsc{\char13}} \neq \frac{B}{B\textsc{\char13}} \longrightarrow SECANTES
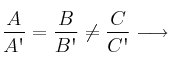
 \frac{A}{A\textsc{\char13}} = \frac{B}{B\textsc{\char13}} \neq \frac{C}{C\textsc{\char13}} \longrightarrow PARALELAS
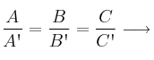
 \frac{A}{A\textsc{\char13}} = \frac{B}{B\textsc{\char13}} = \frac{C}{C\textsc{\char13}} \longrightarrow COINCIDENTES

Analizando pendientes o vectores directores

 Si tienen la misma pendiente son paralelas (o coincidentes)
 Si tienen distinta pendiente son secantes

 Si sus vectores directores son proporcionales son paralelas (o coincidentes)
 Si sus vectores directores NO son proporcionales son secantes

Comentar el artículo