Resumen de las ecuaciones de la recta en el plano
Veamos un resumen de todas las ecuaciones de la recta que
– pasa por el punto
– tiene como vector director ![]()
| Ecuación | Fórmula | ¿Cómo se obtiene? |
|---|---|---|
| Vectorial | Punto y vector director | |
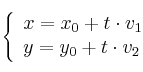
| Paramétricas | ![]() |
Punto y vector director |
| Continua | ![]() |
Punto y vector director |
| General | Productos cruzados a partir de la ec. continua | |
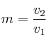
| Explícita | Despejando " | |
| Punto-pendiente | Punto y pendiente ![]() |


