Ecuación General de la recta
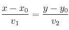
Partiendo de la ecuación continua:

donde
![]()
Quitamos paréntesis y ordenamos los términos hasta llegar a una ecuación del tipo:

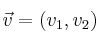
Un vector director sería
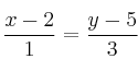
Ejemplo: Hallar la ecuación general de la recta que pasa por el punto
y tiene como vector director ![]()

![]()
![]()
