Ángulo de dos rectas en el plano
Ángulo de dos rectas en el plano
Ángulo de dos rectas en el plano
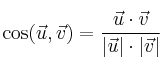
El ángulo entre dos rectas queda determinado por el ángulo que forman sus vectores directores
Recordemos que el ángulo entre dos vectores se obtiene con la fórmula:

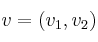
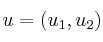
Si las coordenadas de los vectores son:
![]()
![]()
la fórmula quedaría así:
