Divide segmento en 3 partes iguales
Halla las coordenadas de los puntos que dividen al segmento
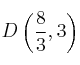
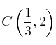
en tres partes iguales. Siendo
y ![]()
SOLUCIÓN
Llamamos
y
a los puntos que buscamos
Sean
las coordenadas del punto ![]()
Recordemos como calcular las componentes de un vector formado por dos puntos:
https://matematicasies.com/02-Compo...

(el vector grande es 3 veces el pequeño pues estamos dividiendo en 3 partes iguales)
Por tanto:
–
– ![]()
Calculamos ahora las coordenadas
del punto ![]()
Por tanto:
–
– ![]()
Por tanto, los puntos pedidos son
y 
Mensajes
8 de septiembre de 2017, 02:10, por Lizbeth
¿Que formulas se emplean , de donde se obtiene el 7 y 3 que están de coordenadas del punto AB?
27 de mayo de 2018, 22:44, por Ana Belén Sanz
AB=(B1-A1,B2-A2)
11 de abril de 2020, 15:15, por Nico
De donde sacó el 7?
11 de abril de 2020, 17:32, por dani
Al principio de la resolución del ejercicio, hay un enlace donde te explica cómo sacar las componentes del vector formado por dos puntos.
También se ha respondido en este foro a otro usuario que preguntaba lo mismo.