Dominio y corte con los ejes
Indica el dominio y corte con los ejes de coordenadas de las siguientes funciones:
– a)
– b)
– c)
– d)
– e) 
SOLUCIÓN
Dominio:
– a)
– b)
– c)
– d) No existe logaritmo de números negativos ni de cero, por tanto
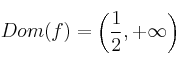
– e) No existe raíz cuadrada de números negativos, por tanto
. Es una inecuación de segundo grado. Su solución será el dominio de la función.
(Ver vídeos sobre [inecuaciones->http://matematicasies.com/-Inecuaciones-)
Corte con los ejes
– a)
. Punto de corte
Ecuación de 2º grado que no tiene solución, por tanto ya no hay más puntos de corte.
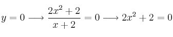
– b)
. Punto de corte
Ecuación de 2º grado que tiene como soluciones
y
, por tanto, los puntos de corte son
y ![]()
– c)
. Punto de corte
Punto de corte:
.
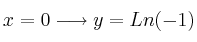
– d)
. No hay logaritmos de números negativos, por tanto no hay puntos de corte en el eje OY.
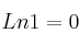
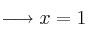
(pues
)
Punto de corte:
.
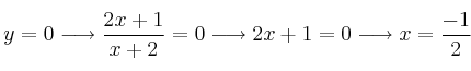
– e)
. Punto de corte:
.
y
. Puntos de corte:
y
.