Ecuación de la altura

Ejercicios_Resueltosgeometríaproblemas_geometría

Dado el triángulo de vértices A(-2,3) , B(5,1) y C(3,-4) , halla la ecuación de la altura correspondiente al vértice B

SOLUCIÓN

La altura correspondiente al vértice B será una perpendicular por B al lado AC

Para hallarla necesitamos un vector perpendicular al vector \vec{AC} y un punto por donde pase (B).

\vec{AC}=(5,-7)
Vector perpendicular: (7,5)

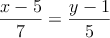
Por tanto la recta que nos piden es:

\frac{x-5}{7}=\frac{y-1}{5}

Comentar el ejercicio