Ecuaciones Bicuadradas
Resuelve las ecuaciones:
– a)
– b) ![]()
SOLUCIÓN
Usaremos el método de las ecuaciones bicuadradas
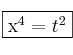
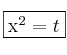
Hacemos el cambio de variable:
con lo cual 
– a) ![]()
Primero la ordenamos:
![]()
Aplicamos el cambio de variable
![]()
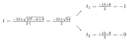
Resolvemos la ecuación de 2º grado

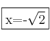
Ahora deshacemos el cambio de variable

– Si
– Si
Las soluciones de la ecuación son
y 
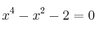
– b) ![]()
Primero la ordenamos:
![]()
Aplicamos el cambio de variable
![]()
Resolvemos la ecuación de 2º grado

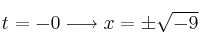
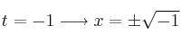
Ahora deshacemos el cambio de variable

– Si
– Si
La ecuación no tiene soluciones reales