Ejercicio 2656 Área de un rombo
Halla el área del rombo cuyos vértices son:
,
,
y ![]()
SOLUCIÓN
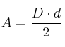
Podemos usar la fórmula del área de un rombo
, donde
y
son las diagonales del rombo.
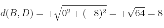
Para calcular las diagonales, hallamos las distancias entre dos vértices alternos:
y ![]()
La distancia entre dos puntos es el módulo del vector formado por dichos puntos.
;
; 
