Ejercicio Logaritmos
Calcula el siguiente logaritmo sin usar la calculadora:
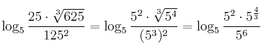
![\log_5 \frac{25 \cdot \sqrt[3]{625}}{125^2} \log_5 \frac{25 \cdot \sqrt[3]{625}}{125^2}](local/cache-TeX/c99ada77b325f604fd173847d72f7db9.png)
SOLUCIÓN
![\log_5 \frac{25 \cdot \sqrt[3]{625}}{125^2} \log_5 \frac{25 \cdot \sqrt[3]{625}}{125^2}](local/cache-TeX/c99ada77b325f604fd173847d72f7db9.png)
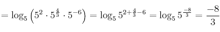
Dado que es un logaritmo en base 5 debemos intentar expresarlo todo como potencias de base 5
![\log_5 \frac{25 \cdot \sqrt[3]{625}}{125^2} = \log_5 \frac{5^2 \cdot \sqrt[3]{5^4}}{(5^3)^2} = \log_5 \frac{5^2 \cdot 5^{\frac{4}{3}}}{5^6} \log_5 \frac{25 \cdot \sqrt[3]{625}}{125^2} = \log_5 \frac{5^2 \cdot \sqrt[3]{5^4}}{(5^3)^2} = \log_5 \frac{5^2 \cdot 5^{\frac{4}{3}}}{5^6}](local/cache-TeX/19d60eb8f4b31a99b6dd7cad4b82f1df.png)
Pasamos el denominador arriba cambiando de signo el exponente

Calcula el siguiente logaritmo sin usar la calculadora:
![\log_5 \frac{25 \cdot \sqrt[3]{625}}{125^2} \log_5 \frac{25 \cdot \sqrt[3]{625}}{125^2}](local/cache-TeX/c99ada77b325f604fd173847d72f7db9.png)
![\log_5 \frac{25 \cdot \sqrt[3]{625}}{125^2} \log_5 \frac{25 \cdot \sqrt[3]{625}}{125^2}](local/cache-TeX/c99ada77b325f604fd173847d72f7db9.png)
Dado que es un logaritmo en base 5 debemos intentar expresarlo todo como potencias de base 5
![\log_5 \frac{25 \cdot \sqrt[3]{625}}{125^2} = \log_5 \frac{5^2 \cdot \sqrt[3]{5^4}}{(5^3)^2} = \log_5 \frac{5^2 \cdot 5^{\frac{4}{3}}}{5^6} \log_5 \frac{25 \cdot \sqrt[3]{625}}{125^2} = \log_5 \frac{5^2 \cdot \sqrt[3]{5^4}}{(5^3)^2} = \log_5 \frac{5^2 \cdot 5^{\frac{4}{3}}}{5^6}](local/cache-TeX/19d60eb8f4b31a99b6dd7cad4b82f1df.png)
