Ejercicio logaritmos: Despejar incógnita en el exponente
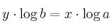
Despeja
en la expresión ![]()
SOLUCIÓN
Para despejar exponentes en expresiones exponenciales tomamos logaritmos a ambos miembros de la igualdad (suele ser el camino más rápido)
![]()
![]()
Aplicando las propiedades de los logaritmos pasamos los exponentes a multiplicar:
![]()
Ahora ya podemos despejar:
