Estudio Global de Funciones
Realiza un estudio global (dominio, simetrías, corte con los ejes, asíntotas, monotonía, extremos y representación gráfica) de la función:
![]()
SOLUCIÓN
Estudio global de ![]()
Dominio
El dominio de cualquier función polinómica es "todos los números reales"
Asíntotas
Una función polinómica no tiene asíntotas.
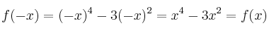
Simetrías
Es una función par (simétrica respecto al eje OY)
Corte con los ejes
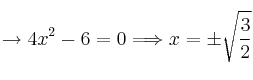
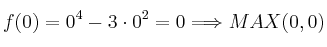
– Si
entonces
. Punto:
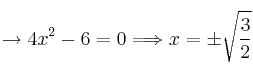
– Si
entonces
. Resolvemos la ecuación:
de donde:
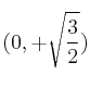
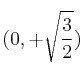
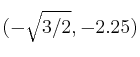
Puntos:
,
, 
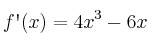
Monotonía
De donde:

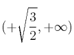
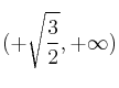
Intervalos:
,
,
, 
Tomamos un punto de cada intervalo para ver el signo de la derivada (positivo significa creciente y negativo decreciente)
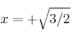
–
DECRECIENTE
–
CRECIENTE
–
DECRECIENTE
–
CRECIENTE

Extremos
Aplicamos la derivada segunda a los puntos 
![]()
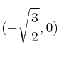
–
MÁXIMO en
–
MÍNIMO en
–
MÍNIMO en 
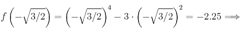
Calculemos la imagen de los extremos para conocer la segunda coordenada:
–
–
MIN
–
MIN
Gráfica
Con los datos obtenidos anteriormente:

podemos ya dibujar la gráfica:

Mensajes
15 de junio de 2008, 11:22, por dani
Estudio global de
Dominio
El dominio de cualquier función polinómica es "todos los números reales"
Asíntotas
Una función polinómica no tiene asíntotas.
Simetrías
Es una función par (simétrica respecto al eje OY)
Corte con los ejes
– Si
entonces
. Punto:
entonces
. Resolvemos la ecuación:
de donde:
,
, 
– Si
Puntos:
Monotonía
De donde:
Intervalos:
,
,
, 
Tomamos un punto de cada intervalo para ver el signo de la derivada (positivo significa creciente y negativo decreciente)
–
DECRECIENTE
CRECIENTE
DECRECIENTE
CRECIENTE
–
–
–
Extremos
Aplicamos la derivada segunda a los puntos 0 ,
–
MÁXIMO en
MÍNIMO en
MÍNIMO en 
–
–
Calculemos la imagen de los extremos para conocer la segunda coordenada:
–
MIN
MIN
–
–
Gráfica
Con los datos obtenidos anteriormente:
podemos ya dibujar la gráfica: