Estudio Global de Funciones
Realiza un estudio global (dominio, simetrías, corte con los ejes, asíntotas, monotonía, extremos y representación gráfica) de la función:

SOLUCIÓN
Estudio global de 
Dominio
![]()
![]()
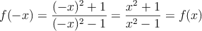
Simetrías

![]()
Es una función PAR (simétrica respecto al eje OY)
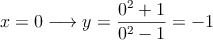
Corte con los ejes de coordenadas
![]()
Punto de corte ![]()
(sin soluciones reales).
No hay corte con el eje OX
Asíntotas verticales
![]()
![]()
![]()
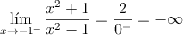
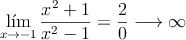
Tiene dos asíntotas verticales:
y ![]()
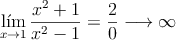
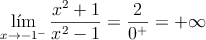
Veamos el comportamiento de la función en las proximidades de las asíntotas
![]()
![]()
![]()
![]()
Asíntotas horizontales
![]()
Tiene asíntota horizontal
a ambos lados.
Asíntotas oblicuas
No hay asíntota oblicuas (es incompatible con la A. Horizontal)
Monotonía y extremos
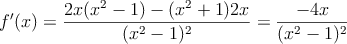
![]()
![]()
Para definir los intervalos, además de x=0 que acabamos de calcular, debemos considerar los puntos que no pertenecen al dominio: x=-1 y x=1
Los intervalos a considerar son
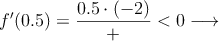
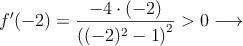
Analizamos el signo de la derivada en cada uno de los intervalos, para ello tomamos un punto de cada intervalo, le aplicamos la derivada y miramos el signo.
CRECE
Observe que el denominador siempre será positivo, al ser un cuadrado
CRECE
DECRECE
DECRECE
La monotonía queda así:
El estudio de la monotonía junto a la continuidad de la función otorgan un máximo local en x=0
![]()
Con todo lo anterior, podemos ya dibujar la gráfica.
Si no lo tiene claro aún, puede darle algunos valores para dibujar unos cuantos puntos que nos ayuden a dibujar la gráfica.