Funciones Corte con los ejes
Halla los puntos de corte con los Ejes de Coordenadas de la función:

SOLUCIÓN

Si ![]()
Punto de corte ![]()
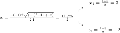
Si ![]()
Resolvemos la ecuación de segundo grado. Las soluciones son -2 y 3

Puntos de corte
y ![]()
Dibujamos la función con geogebra para comprobar los resultados