Hallar razones trigonométricas a partir de la tangente
Sabiendo que
y que
, halla ![]()
SOLUCIÓN
La estrategia de este problema se divide en dos partes:
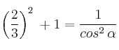
– primero calculamos
a partir de
– en segundo lugar calculamos
a partir de ![]()
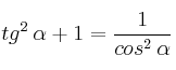
La fórmula que relaciona coseno y tangente es
Usando el dato del enunciado tendríamos:



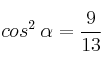
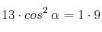
![]()


Como es un ángulo del primer cuadrante
, tomamos la solución positiva: 
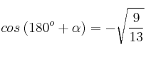
Los ángulos
y
tienen cosenos iguales pero de distinto signo Ver la explicación, por tanto:
