Hallar recta perpendicular
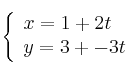
Halla la ecuación paramétrica de una recta perpendicular a la recta
por el punto ![]()
SOLUCIÓN
Para expresar las ecuaciones de una recta necesitamos un punto y un vector director.
El punto nos lo proporciona el enunciado:
El vector debe ser un vector perpendicular al vector director de ![]()
Necesitamos hallar el vector director de la recta
y encontrar otro perpendicular.
Hay varios procedimientos y fórmulas para obtener un vector director de la recta
. El que usaremos en este ejercicio consiste en obtener dos puntos de la recta y, a partir de ellos, generar el vector.
Si
entonces
de donde
. Punto1
Si
entonces
de donde
. Punto2
Vector:
.
Vector perpendicular : ![]()
Con el punto
y el vector
expresamos las ecuaciones paramétricas de la recta que nos piden:
