• Apuntes
  • Vídeos
  • Ejercicios
    • Resueltos
    • Por Curso
      • 1º ESO
      • 2º ESO
      • 3º ESO
      • 4º ESO
      • 1º BACH. CIENCIAS
      • 1º BACH. SOCIALES
      • 2º BACH. CIENCIAS
      • 2º BACH. SOCIALES
  • Más recursos
    • Actividades Interactivas
    • Selectividad (PAU)
    • Acceso Mayores 25
    • LaTeX
Inicio ›EJERCICIOS de Matemáticas ›1º BACH. CIENCIAS ›Integrales ›Integral inmediata 1/(1+e^x)

Integral inmediata 1/(1+e^x)

Ejercicios_Resueltosintegralesintegrales inmediatas

Resuelve sin hacer cambio de variable la integral \int \frac{dx}{1+e^x}

SOLUCIÓN

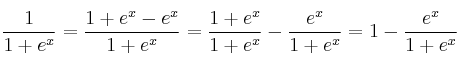
\frac{1}{1+e^x} = \frac{1+e^x-e^x}{1+e^x}=\frac{1+e^x}{1+e^x}-\frac{e^x}{1+e^x}= 1 - \frac{e^x}{1+e^x}
\int \frac{dx}{1+e^x} = \int 1dx - \int \frac{e^x}{1+e^x} = x - ln|1+e^x|+C

Comentar el ejercicio

  • 1º BACH. CIENCIAS
    • Derivadas
    • Números Reales
    • Sucesiones
    • Logaritmos
    • Polinomios y Fracciones Algebraicas
    • Exámenes
    • Ecuaciones
    • Números Complejos
    • Sistemas de Ecuaciones
    • Trigonometría
    • Inecuaciones
    • Ecuaciones Exponenciales y Logarítmicas
    • Funciones (I)
    • Geometría en el Plano
    • Cónicas
    • Funciones II
    • Integrales
    • Probabilidad
  • Mapa del sitio
  • Conectarse
  • 2001-2026 — Matemáticas IES — Contactar con Dani