Integrales
(86) ejercicios de Integrales
-
Resuelve la integral:
–

-
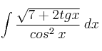
Resuelve la integral:
–

-
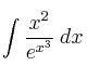
Resuelve la integral:
–

-
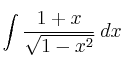
Resuelve la integral:
–

-
Resuelve la integral:
–
