Límites y Derivadas
(19) ejercicios de Límites y Derivadas
-
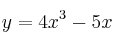
Calcula la derivada de las funciones:
–
–
-
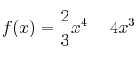
Calcula la derivada de la función

-
Calcula la derivada de la función

-
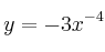
Calcula la derivada de las funciones:
–
–
-
Calcula la derivada de las siguientes funciones:
– a)
– b)
– c)
– d)
– e)
– f)
– g)
– h)
