Límites y Derivadas
(19) ejercicios de Límites y Derivadas
-
Calcula la derivada de las siguientes funciones:
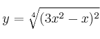
– a)
– b)![y = \sqrt[4]{(3x^2-x)^2} y = \sqrt[4]{(3x^2-x)^2}](local/cache-TeX/adc6ccda743d2c6a1fff0f387c2c0ad2.png)
-
Calcula la derivada de las siguientes funciones:
– a)
– b)
-
Calcula la derivada de las siguientes funciones:
–
–
–
–
-
Calcula la derivada de la función

-
Calcula la derivada de las siguientes funciones:
–
–
–![y = \sqrt[5]{3x^2} y = \sqrt[5]{3x^2}](local/cache-TeX/ec8ac46ebcc0fba52f7fcaa90b4d68fc.png)
