Logarítmos
(43) ejercicios de Logarítmos
-
Halla el valor de ’x’ en las siguientes expresiones:
–
–
–
–
-
Elimina logaritmos de la expresión:

-
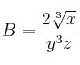
Transforma la siguiente expresión algebraica en una expresión logarítmica:
![B = \frac{2 \sqrt[3]{x}}{y^3z} B = \frac{2 \sqrt[3]{x}}{y^3z}](local/cache-TeX/e09e96ba9dcc81a58d1acc50f7cb5c65.png)
-
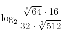
Calcula sin usar la calculadora:
![\log_2 \frac{\sqrt[6]{64} \cdot 16}{32 \cdot \sqrt[3]{512}} \log_2 \frac{\sqrt[6]{64} \cdot 16}{32 \cdot \sqrt[3]{512}}](local/cache-TeX/4bedc8c892465f72635a6f790f7097e0.png)
-
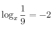
Sabiendo que
y que
, calcula
