Logarítmos
(43) ejercicios de Logarítmos
-
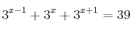
Resuelve la ecuación

-
Sabiendo que
y sin usar la calculadora, obtener el valor de:– a)
– b)
– c)
– d)
-
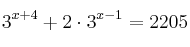
Resuelve la ecuación:

-
Resuelve la ecuación:

-
Resuelve la ecuación
