Logarítmos
(43) ejercicios de Logarítmos
-
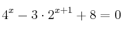
Resuelve la ecuación

-
Resuelve la ecuación

-
Resuelve la ecuación

-
Resuelve la ecuación

-
Resuelve la ecuación

