☰
Apuntes
Vídeos
Ejercicios
Resueltos
Por Curso
1º ESO
2º ESO
3º ESO
4º ESO
1º BACH. CIENCIAS
1º BACH. SOCIALES
2º BACH. CIENCIAS
2º BACH. SOCIALES
Más recursos
Actividades Interactivas
Selectividad (PAU)
Acceso Mayores 25
LaTeX
Inicio
›
EJERCICIOS de Matemáticas
›
1º BACH. SOC.
›
Logarítmos
Logarítmos
(43) ejercicios de Logarítmos
👁 Ver (#1674)
Seleccionar
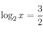
Calcula el valor de
en los siguientes logaritmos:
–
–
–
–
–
👁 Ver (#2662)
Seleccionar
Resuelve el sistema:
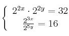
👁 Ver (#2663)
Seleccionar
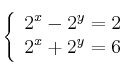
Resuelve el sistema:
1
2
3
4
5
6
7
8
9
/B_articulos>