Números Complejos
(128) ejercicios de Números Complejos
-
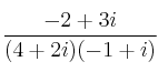
Calcula en forma binómica:

-
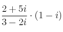
Calcula en forma binómica:

-
Expresa en función de
:

-
Calcula:

-
Resuelve las siguientes ecuaciones con soluciones complejas:
–
–