Números Reales
(42) ejercicios de Números Reales
-
Racionaliza los denominadores de las siguientes expresiones:

-
Racionaliza los denominadores de las siguientes expresiones:

-
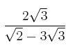
Racionaliza los denominadores de las siguientes expresiones:
– a)
– b)
-
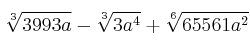
Calcula y simplifica
![\sqrt[3]{3993a} - \sqrt[3]{3a^4} + \sqrt[6]{65561a^2} \sqrt[3]{3993a} - \sqrt[3]{3a^4} + \sqrt[6]{65561a^2}](local/cache-TeX/f19c50ad3fa00d61d1ca9b1c55ef6d09.png)
-
Calcula y simplifica:
