Polinomios
(68) ejercicios de Polinomios
-
Expresa como cuadrado de una suma o de una diferencia, o bien como producto de una suma por una diferencia:
Ejemplo 
– a)
– b)
– c)
– d)
– e)
-
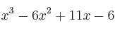
Factoriza los siguientes polinomios:
– a)
– b)
-
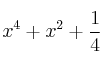
Factoriza los siguientes polinomios:
– a)
– b)
-
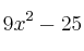
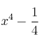
Factoriza los siguientes polinomios:
– a)
– b)
-
Calcula el cociente y el resto de las siguientes divisiones:
– a)
– b)
