Polinomios
(68) ejercicios de Polinomios
-
Extrae el factor común en las expresiones siguientes:
– a)
– b)
– c)
– d)
-
Usando las fórmulas de los productos notables, desarrolla las siguientes expresiones, simplificando y ordenando el resultado:
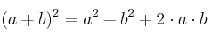
Productos Notables fórmula cuadrado de una suma 
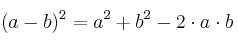
cuadrado de una diferencia 
producto suma x diferencia 
– a)
– b)
– c)
– d)
-
Usando las fórmulas de los productos notables, desarrolla las siguientes expresiones, simplificando y ordenando el resultado:
Productos Notables fórmula cuadrado de una suma 
cuadrado de una diferencia 
producto suma x diferencia 
– a)
– b)
– c)
– d)
-
Usando las fórmulas de los productos notables, desarrolla las siguientes expresiones, simplificando y ordenando el resultado:
Productos Notables fórmula cuadrado de una suma 
cuadrado de una diferencia 
producto suma x diferencia 
– a)
– b)
-
Expresa como cuadrado de una suma o de una diferencia, o bien como producto de una suma por una diferencia:
Ejemplo 
– a)
– b)
– c)
– d)
– e)
