Problema edades padre madre e hija
El padre, la madre y su hija están reunidos. La hija preguntó por la edad de su madre y su padre le dijo: Nuestras 3 edades suman 60 años. Como yo soy 6 veces más viejo de lo que tú eres ahora, puede decirse que cuando sea el doble de viejo que tú, nuestras 3 edades sumadas será el doble de lo que suman ahora. ¿Qué edad tiene la madre?
SOLUCIÓN
Debemos distinguir dos tiempos:
– actualmente
– dentro de x años
Llamamos p,m y h a las edades actuales de padre, madre e hija
Dentro de x años, tendrán p+x, m+x , h+x años respectivamente
| padre | madre | hija | |
| Hoy | p | m | h |
| Dentro de x años | p+x | m+x | h+x |
Planteamos las ecuaciones relacionadas al tiempo actual
Nuestras 3 edades suman 60 años
![]()
soy 6 veces más viejo que tú
![]()
Planteamos también las ecuaciones relacionadas al tiempo futuro (dentro de x años)
cuando sea el doble de viejo que tú
![]()
nuestras 3 edades sumadas será el doble de lo que suman ahora
![]()
En realidad tenemos 4 ecuaciones con 4 incógnitas. Se podría resolver el sistema, pero busquemos un modo más asequible:
De la última ecuación se puede sacar el valor de x
![]()
![]()
![]()
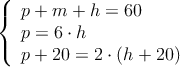
Ponemos el resto de ecuaciones (sustituyendo x por 20)

se podría resolver el sistema de 3 ecuaciones con 3 incógnitas, sin embargo resultará más fácil resolver el sistema de las 2 últimas ecuaciones
![]()
![]()
Finalmente:
![]()
![]()
Por tanto, la madre tiene 25 años