Problemas Resolución de Triángulos
Hemos colocado un cable sobre un mástil, según la figura. ¿Cuánto miden el cable y el mástil?
SOLUCIÓN
En primer lugar ponemos nombre a los lados desconocidos
Es un problema clásico que se resuelve con un sistema de ecuaciones (usando las tangentes).
![]()
![]()
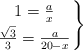
Tenemos un sistema formado por dos ecuaciones y dos incógnitas: a y x
Sustituimos las tangentes por sus valores

![]()
Como
tenemos que la altura es aproximadamente 7.32 metros.
Para calcular la longitud del cable, debemos calcular b y c y sumarlos.
Podemos usar el teorema de Pitágoras.
![]()
![]()

Procediendo de forma similar obtenemos que ![]()
Por tanto, el cable mide aproximadamente
metros